東北地理所在CO2升高對小麥抗逆性和品質的影響機制方面取得進展
近年來大氣CO2增高對作物生長發育的影響逐漸受到關注,小麥等大田作物在生育期內會遭遇多種氣象災害,特別是發生于生育后期的水分及溫度脅迫嚴重影響了小麥的產量和品質形成,關于大氣CO2增高對小麥抗旱性等的影響是國內外研究熱點。而大氣CO2增高是一個長期持續存在的過程,勢必對小麥連續多代的生長和籽粒產量及品質產生累積效應。
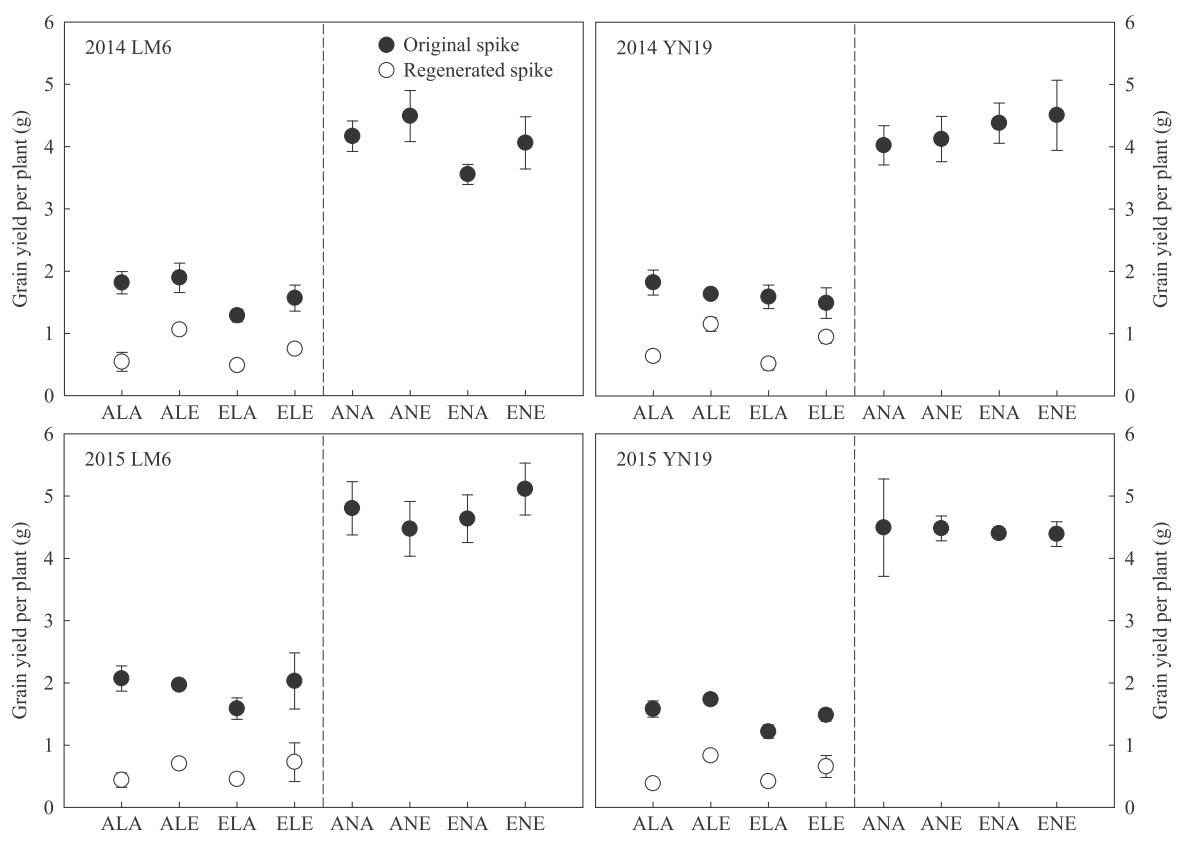
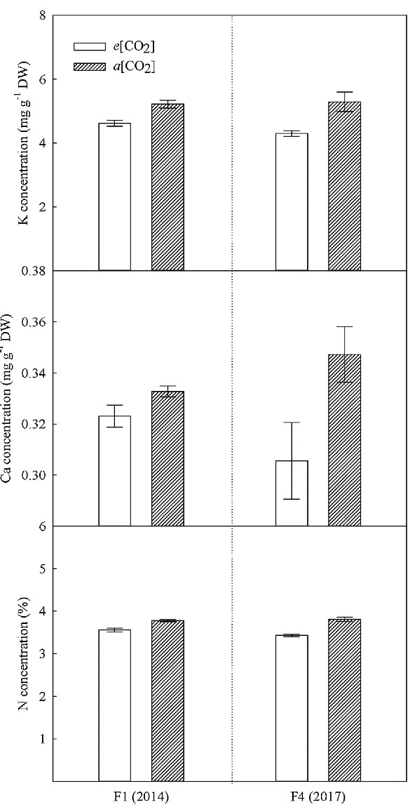
東北地理所作物生理與栽培學科組圍繞大氣CO2增高對小麥的抗逆性及品質的影響機制,系統分析了大氣CO2增高與高溫、干旱、凍害等非生物脅迫間的互作對小麥植株水分狀況及產量的影響,并且研究了連續四代大氣CO2增高影響小麥產量和品質形成的生理機制。研究發現開花前CO2增高導致植株營養生長期碳同化增加,其加重了抽穗期低溫脅迫對小麥的不利影響,而灌漿期的CO2增高則利于緩解低溫脅迫造成的小麥減產。全生育期CO2增高與花后高溫干旱均導致氣孔導度、葉水勢等顯著降低,并且影響了葉片和穗中的脫落酸含量,CO2增高對高溫干旱雙重脅迫的緩解主要表現在穗粒數和粒重的保持上。此外,連續多代CO2增高嚴重導致籽粒氮、鉀、鈣等元素、谷蛋白大聚合體及氨基酸含量的顯著降低,表現出籽粒品質變劣的趨勢,研究結果表明單代或短期的CO2增高研究結果不足以估測大氣CO2增高對作物產量品質影響的長期效應。
該系列研究由東北地理所李向楠研究員(第一和通訊作者)與海外特聘研究員丹麥哥本哈根大學劉福來教授等合作完成。相關研究于2019年發表于Environmental and Experimental Botany和Journal of Agronomy and Crop Science上。研究得到了丹麥Villum博士后基金、國家自然基金及國家重點研發項目資助。

圖1 不同生育期大氣CO2增高對小麥籽粒產量的影響

圖2 連續四代大氣CO2增高對小麥籽粒氮及礦質營養含量的影響
論文信息:
Li X, Khan A, Lv Z, Fang L, Jiang D, Liu F (2019) Effect of multigenerational exposure to elevated atmospheric CO2 concentration on grain quality in wheat. Environmental and Experimental Botany 157: 310-319.
Li X, Li Y, Zhu X, Liu S, Liu F (2019) Modulation of photosynthate supply by CO2 elevation affects the post-head-emergence frost-induced grain yield loss in wheat. Journal of Agronomy and Crop Science 205: 54-64. doi: 10.1111/jac.12304.
Li X, Kristiansen K, Rosenqvist E, Liu F (2019) Elevated CO2 modulates the effects of drought and heat stress on plant water relations and grain yield in wheat. Journal of Agronomy and Crop Science. DOI: 10.1111/jac.12330.
附件下載:
吉公網安備22017302000214號