東北地理所在利用土壤元素組成特征評估濕地恢復效果研究中取得進展
濕地是地球上最富有生物多樣性的生態系統和人類最重要的生存環境之一,具有不可替代的生態功能,被稱為"地球之腎"。自20世紀初以來,由于人類的大規模開發利用,全球約有一半以上的濕地喪失。20世紀80年代以來,隨著對濕地重要性認識的深入以及濕地保護的加強,世界范圍內實施了大規模的生態恢復工程,以期恢復重要的濕地生態系統服務功能。
在評估濕地恢復效果的科研工作中,多數研究重點關注濕地植被的恢復過程,對濕地生態工程能否使土壤生物地球化學過程恢復到原始狀態仍缺乏足夠的認識。土壤元素化學是濕地生物地球化學過程的重要指征,受景觀特征、水文條件和人為干擾等因素的影響。土壤元素組成通常由氣候和成土母質共同決定。目前已開展的研究多關注一個或少數幾個元素,關于濕地恢復前后土壤元素組成的變化規律尚不清楚,而相關研究對于揭示濕地生物地球化學變化過程非常重要,將為濕地恢復效果評估與管理決策提供重要的參考信息。。
東北地理所科研人員以我國濕地生態恢復工程重點實施區域—三江平原為研究區,選取天然濕地、恢復濕地和開墾農田三種土地利用類型,在濕地植被恢復研究的基礎上,開展了濕地恢復前后土壤元素組成特征(55種)及其指示的生物地球化學變化過程研究。研究結果表明,三種土地利用類型的土壤元素組成特征具有顯著差異,恢復濕地的土壤元素含量整體介于天然濕地和開墾農田之間。其中,氮、硫養分元素以及少數過渡金屬元素含量在天然濕地中最高,在開墾農田中最低。相反,鈉、鉀元素以及大部分鑭系金屬元素含量在天然濕地中最低,在開墾農田中最高。磷元素在恢復濕地含量最高。
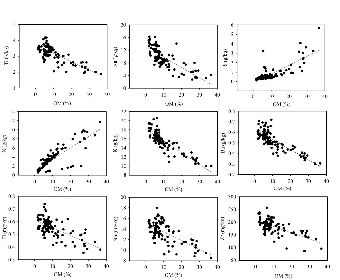
土壤有機質含量、電導率和pH是影響土壤元素組成的最主要環境因子。其中,土壤有機質含量與氮、硫、磷以及少數金屬元素含量顯著正相關,而與其他大部分金屬元素含量顯著負相關。濕地生態工程在一定程度上恢復了土壤有機質,使得土壤元素組成特征向未受干擾的自然狀態方向發展。濕地生態工程實施10-15年,土壤元素組成指示的生物地球化學功能可恢復到天然濕地50%左右的水平。然而,土壤特性的差異使得恢復濕地的生物地球化學難以完全達到未受干擾的自然水平。
土壤質地類型及吸附作用,以及植物生長、根際過程和微生物介導的反硝化作用等生物過程顯著影響碳吸收、養分積累和金屬元素遷移,調控土壤元素組成和生物地球化學循環。土壤元素組成特征與土壤有機質和電導率是生物地球化學功能的敏感指標,可結合已有生物指標,綜合評價濕地生態系統結構和功能的恢復效果。
本研究由東北地理所王國棟副研究員、姜明研究員、薛振山副研究員,我所海外特聘研究員、美國北達科他州立大學Marinus Otte教授、袁宇翔博士等共同完成。成果發表于國際土壤學專業期刊Geoderma和Land Degradation and Development。該研究得到國家自然科學基金、國家重點研發計劃、中國科學院青年創新促進會人才項目以及中科院東北地理所優秀青年人才基金等共同資助。論文信息列表如下:
1.Wang, G.D., Otte, M.L., Jiang, M., Wang, M., Yuan, Y.X., Xue, Z.S., 2019. Does the element composition of soils of restored wetlands resemble natural wetlands? Geoderma, 351: 174-179. https://doi.org/10.1016/j.geoderma.2019.05.032
2.Wang, G.D., Jiang, M., Wang, M., Xue, Z.S., 2020. Element composition of soils to assess the success of wetland restoration. Land Degradation and Development. https://doi.org/10.1002/ldr.3561

圖1 土壤元素組成與約束環境變量的RDA排序圖

圖2 土壤元素含量與土壤有機質含量的相關性

圖3 基于Bray-Curtis算法的樣地(天然濕地、恢復濕地、開墾農田)NMDS排序圖

圖4 不同樣地類型(天然濕地、恢復濕地、開墾農田)土壤元素組成聚類分析
表1 不同類型樣地 (天然濕地、恢復濕地、開墾農田)土壤元素含量及環境因素差異
|
|
Unit |
Undisturbed |
Restored |
Paddy |
P | |
|
Environmental Factors | ||||||
|
OM |
% |
16.00±1.50 |
8.26±0.49 |
4.65±0.41 |
<0.001 | |
|
EC |
μs/cm |
2360±620 |
592±47 |
751±77 |
<0.001 | |
|
pH |
- |
6.08±0.10 |
6.37±0.13 |
6.84±0.16 |
<0.001 | |
|
Element concentrations, no significant variation (U=R=P) | ||||||
|
Ag |
mg/kg |
0.19±0.01 |
0.17±0.01 |
0.20±0.02 |
0.243 | |
|
Al |
g/kg |
57.4±1.8 |
59.1±1.5 |
58.0±1.5 |
0.754 | |
|
As |
mg/kg |
3.24±0.17 |
3.16±0.16 |
3.22±0.29 |
0.956 | |
|
B |
mg/kg |
32.4±2.8 |
35.1±1.4 |
35.0±2.9 |
0.676 | |
|
Ca |
g/kg |
7.63±0.37 |
7.49±0.37 |
7.71±0.43 |
0.930 | |
|
Fe |
g/kg |
25.4±0.97 |
28.2±0.80 |
27.0±1.20 |
0.117 | |
|
Gd |
mg/kg |
4.56±0.17 |
4.68±0.12 |
5.05±0.15 |
0.075 | |
|
In |
mg/kg |
0.06±0.001 |
0.06±0.002 |
0.05±0.01 |
0.060 | |
|
Mg |
g/kg |
5.46±0.17 |
5.52±0.24 |
5.22±0.33 |
0.681 | |
|
Pb |
mg/kg |
19.9±0.40 |
20.9±0.53 |
21.6±0.87 |
0.136 | |
|
Rb |
mg/kg |
79.4±1.6 |
80.4±2.0 |
80.3±1.8 |
0.912 | |
|
Se |
mg/kg |
0.25±0.01 |
0.27±0.02 |
0.24±0.01 |
0.275 | |
|
Sc |
mg/kg |
9.31±0.21 |
9.37±0.19 |
9.18±0.25 |
0.829 | |
|
Sn |
mg/kg |
2.93±0.12 |
3.19±0.08 |
2.95±0.11 |
0.165 | |
|
U |
mg/kg |
3.62±0.51 |
2.97±0.23 |
2.48±0.15 |
0.098 | |
|
Element concentrations, decreasing (U ≥ R ≥ P) | ||||||
|
Bi |
mg/kg |
0.25±0.01 |
0.22±0.005 |
0.21±0.005 |
0.001 | |
|
Cd |
mg/kg |
0.28±0.01 |
0.26±0.01 |
0.22±0.01 |
0.007 | |
|
Cu |
mg/kg |
28.0±0.9 |
28.6±0.7 |
23.2±0.6 |
<0.001 | |
|
Cr |
mg/kg |
76.0±5.0 |
72.4±3.6 |
60.1±2.8 |
0.024 | |
|
Mo |
mg/kg |
2.24±0.19 |
1.17±0.08 |
1.00±0.05 |
<0.001 | |
|
N |
g/kg |
5.08±0.44 |
3.51±0.21 |
1.65±0.15 |
<0.001 | |
|
Ni |
mg/kg |
27.9±1.8 |
23.1±0.7 |
20.5±0.9 |
<0.001 | |
|
S |
g/kg |
1.36±0.19 |
0.51±0.04 |
0.43±0.10 |
<0.001 | |
|
Zn |
mg/kg |
46.0±2.5 |
35.7±2.0 |
32.8±2.7 |
<0.001 | |
|
Increasing (U ≤ R ≤ P) | ||||||
|
Ba |
g/kg |
0.49±0.02 |
0.55±0.01 |
0.57±0.01 |
<0.001 | |
|
Be |
mg/kg |
2.26±0.06 |
2.58±0.06 |
2.47±0.07 |
0.001 | |
|
Ce |
mg/kg |
56.5±1.5 |
56.9±1.7 |
65.5±1.9 |
<0.001 | |
|
Co |
mg/kg |
10.2±0.4 |
11.4±0.3 |
12.6±0.9 |
0.010 | |
|
Dy |
mg/kg |
3.31±0.07 |
3.50±0.09 |
3.75±0.11 |
0.004 | |
|
Er |
mg/kg |
1.78±0.04 |
1.85±0.05 |
2.01±0.07 |
0.008 | |
|
Eu |
mg/kg |
1.00±0.02 |
1.06±0.03 |
1.17±0.03 |
<0.001 | |
|
Ho |
mg/kg |
0.63±0.01 |
0.66±0.02 |
0.70±0.02 |
0.02 | |
|
K |
g/kg |
14.3±0.4 |
15.7±0.3 |
16.9±0.3 |
<0.001 | |
|
La |
mg/kg |
28.8±0.7 |
29.6±0.8 |
32.3±0.9 |
0.007 | |
|
Lu |
mg/kg |
0.23±0.01 |
0.24±0.01 |
0.26±0.01 |
0.011 | |
|
Mn |
mg/kg |
160±7 |
160±11 |
233±31 |
0.005 | |
|
Na |
g/kg |
7.86±0.52 |
9.66±0.40 |
12.41±0.42 |
<0.001 | |
|
Nd |
mg/kg |
26.9±0.9 |
27.4±0.8 |
29.9±0.9 |
0.042 | |
|
Pr |
mg/kg |
6.81±0.16 |
7.04±0.20 |
7.73±0.22 |
0.004 | |
|
Sb |
mg/kg |
1.20±0.04 |
1.16±0.02 |
1.61±0.18 |
0.003 | |
|
Sm |
mg/kg |
4.94±0.12 |
5.20±0.14 |
5.67±0.16 |
0.002 | |
|
Sr |
mg/kg |
115±6 |
130±6 |
157±7 |
<0.001 | |
|
Ti |
g/kg |
2.90±0.11 |
3.34±0.06 |
3.30±0.05 |
<0.001 | |
|
Tl |
mg/kg |
0.53±0.02 |
0.57±0.01 |
0.56±0.01 |
0.015 | |
|
Tb |
mg/kg |
0.61±0.01 |
0.64±0.02 |
0.69±0.02 |
0.004 | |
|
Th |
mg/kg |
7.67±0.18 |
8.05±0.17 |
8.46±0.17 |
0.009 | |
|
Tm |
mg/kg |
0.25±0.01 |
0.26±0.01 |
0.28±0.01 |
0.010 | |
|
Yb |
mg/kg |
1.59±0.04 |
1.66±0.04 |
1.80±0.06 |
0.008 | |
|
Y |
mg/kg |
29.9±0.5 |
31.7±0.5 |
31.6±0.8 |
0.039 | |
|
Zr |
mg/kg |
164±4 |
194±4 |
194±5 |
<0.001 | |
|
U<R>P | ||||||
|
Cs |
mg/kg |
7.24±0.22 |
7.40±0.16 |
6.56±0.20 |
0.012 | |
|
Li |
mg/kg |
27.5±1.2 |
28.6±0.6 |
25.1±0.8 |
0.037 | |
|
Nb |
mg/kg |
12.3±0.3 |
14.3±0.3 |
14.0±0.2 |
<0.001 | |
|
P |
g/kg |
0.69±0.03 |
0.74±0.05 |
0.59±0.02 |
0.021 | |
|
V |
mg/kg |
74.0±1.6 |
81.9±1.7 |
75.1±2.0 |
0.003 | |
附件下載:
吉公網安備22017302000214號