東北地理所在土壤線蟲多樣性對農田有機肥施用量的響應方面取得進展
土壤線蟲是土壤中最為豐富的多細胞動物,在土壤物質循環和能量流動中起著重要的作用,已被廣泛地作為土壤指示生物評價外界擾動對土壤生物多樣性的影響。在農田生態系統中,施用有機肥是提升土壤肥力、提高作物產量的有效方式之一,以往大量研究表明施用有機肥影響土壤線蟲的多樣性,然而關于有機肥施用量對土壤線蟲群落結構和功能影響關注較少。為此,東北地理所農田有害生物控制學科組潘鳳娟副研究員與黑土保護與利用學科組韓曉增研究員以農田生態系統不同有機肥施用量長期定位試驗為研究平臺,比較分析了不施肥和化肥配施不同量有機肥(0、7.5和22.5t/ha豬糞)土壤線蟲群落組成和代謝足跡,闡明了有機肥施用量對土壤線蟲群落結構和食物網功能的影響。
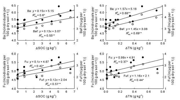
研究結果表明:在農田生態系統中,施用高量有機肥(22.5t/ha豬糞)增加了優勢線蟲的數量,食細菌線蟲和食真菌線蟲的豐度隨有機肥施用量的增加呈遞增的趨勢。有機肥的施用量也影響土壤線蟲食物網結構,線蟲通路指數在5月和10月份隨有機肥施用量的增加呈降低趨勢,而三個取樣時期富集指數隨有機肥施用量的增加均呈遞增的趨勢(圖1),線性回歸分析表明食細菌線蟲和食真菌線蟲的豐度及代謝足跡與土壤TOC和TN的增量呈顯著正相關(圖2)。這些結果表明隨有機肥施用量的增加,有機物細菌降解路徑的比率增大,有機肥施用量主要影響處在食物網低營養級線蟲的活性和功能,從土壤線蟲群落結構和功能的角度分析,適量增加有機肥的施用量可促進土壤食物網物中物質循環和能量流動。

圖1 不同量有機肥處理下線蟲食物網指數

圖2 土壤線蟲豐度和代謝足跡與土壤有機碳和總氮增量的關系
以上研究由東北地理所潘鳳娟副研究員(第一作者)和韓曉增研究員(通訊作者)等共同完成,相關研究結果于近期發表在Pedosphere上。
論文信息:
Fengjuan Pan, Xiaozeng Han*, Na Li, Jun Yan, Yanli Xu. Effect of organic amendment amount on soil nematode community structure and metabolic footprints in soybean phase of a soybean-maize rotation on Mollisols. Pedosphere, 2020, 30(4), 544–554. https://doi.org/10.1016/S1002-0160(17)60432-6.
附件下載:
吉公網安備22017302000214號