東北地理所在蘇打鹽堿地改良種稻對土壤理化特征影響和安全性評價方面取得重要進展
土壤鹽堿化是松嫩平原西部長期面臨的主要生態問題。近年來,改良種植水稻成為西部鹽堿地治理與農業利用的主要途徑。隨著各種土壤改良調理劑的廣泛應用,對土壤的改良效果如何以及改良劑會不會帶來土壤二次污染的潛在風險,這些問題成為公眾的普遍關注,亟待用具體數據給予科學的回答。
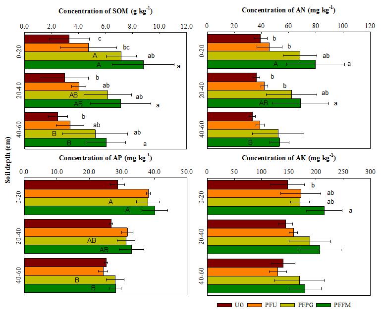
近日,東北地理所科研人員利用吉林大安農田生態系統國家野外科學觀測研究站(簡稱“大安站”)多年改良的水稻田,通過連續取樣分析,研究發現鹽堿荒地改為水稻田后,通過多年耕作(不進行土壤改良)可以降低耕層(0-20cm)鹽堿含量,增加土壤有機質和速效氮磷養分的顯著效果;采用磷石膏或有機肥進行土壤改良后,耕層土壤鹽堿降低和養分提升作用顯著優于不改良處理。與對照(鹽堿荒地)相比,不改良直接種稻、磷石膏改良后種稻和有機肥改良后種稻3種處理方式的耕層土壤鈉離子含量分別下降42.9%、61.5%和60.9%;碳酸鹽含量下降18.9%、63.2%和57.9%;土壤pH下降0.57、1.05和1.30個單位,鹽分電導率(EC1:5)下降18.3%,49.1%和48.3%,堿化度下降47.2%、66.5%和72.5%。研究同時深入分析了土壤鹽分離子含量與鹽堿化參數的關系以及鹽堿參數與養分指標的關系,指出土壤pH和EC1:5與鹽分離子含量具有極顯著(P<0.01)的相關關系,且二者測試相對容易,可以作為土壤鹽堿化程度評價的代表性指標;研究進一步揭示了土壤pH,交換性鈉和碳酸根含量是抑制土壤肥力提升的主要障礙因子。研究也分析了土壤As、Pb、Cd、Cr、Hg等重金屬含量情況,參照《土壤環境質量標準》,發現改良處理的鹽堿地稻田土壤在重金屬含量方面符合我國土壤環境質量一級標準。

圖1 不同改良耕作處理10年的土壤鹽分離子含量變化

圖2不同改良耕作處理10年的土壤有機質和速效養分含量變化

圖3 蘇打鹽堿土鹽分含量與養分含量的關系
相關研究成果發表在土壤學Top期刊Soil & Tillage Research(IF 5.374)上,東北地理所所黃立華研究員為論文的第一和通訊作者,相關研究得到國家自然科學基金面上項目(41977148)、國家重點研發計劃項目(2016YFD0200303)和吉林省科技攻關項目(20190303090SF)的資助。
論文信息:Lihua Huang*, Ying Liu**, Jorge F.S. Ferreira, Mingming Wang, Jia Na, Jinxin Huang, Zhengwei Liang. Long-term combined effects of tillage and rice cultivation with phosphogypsum or farmyard manure on the concentration of salts, minerals, and heavy metals of saline-sodic paddy fields in Northeast China, Soil & Tillage Research, 2022, 215, 105222. doi.org/10.1016/j.still.2021.105222
附件下載:
吉公網安備22017302000214號